kora-vip.ru
kora-vip.ru
Найти
Kora-vip リップル
»
指数 計算
» 指数 計算 問題 (99) 사진
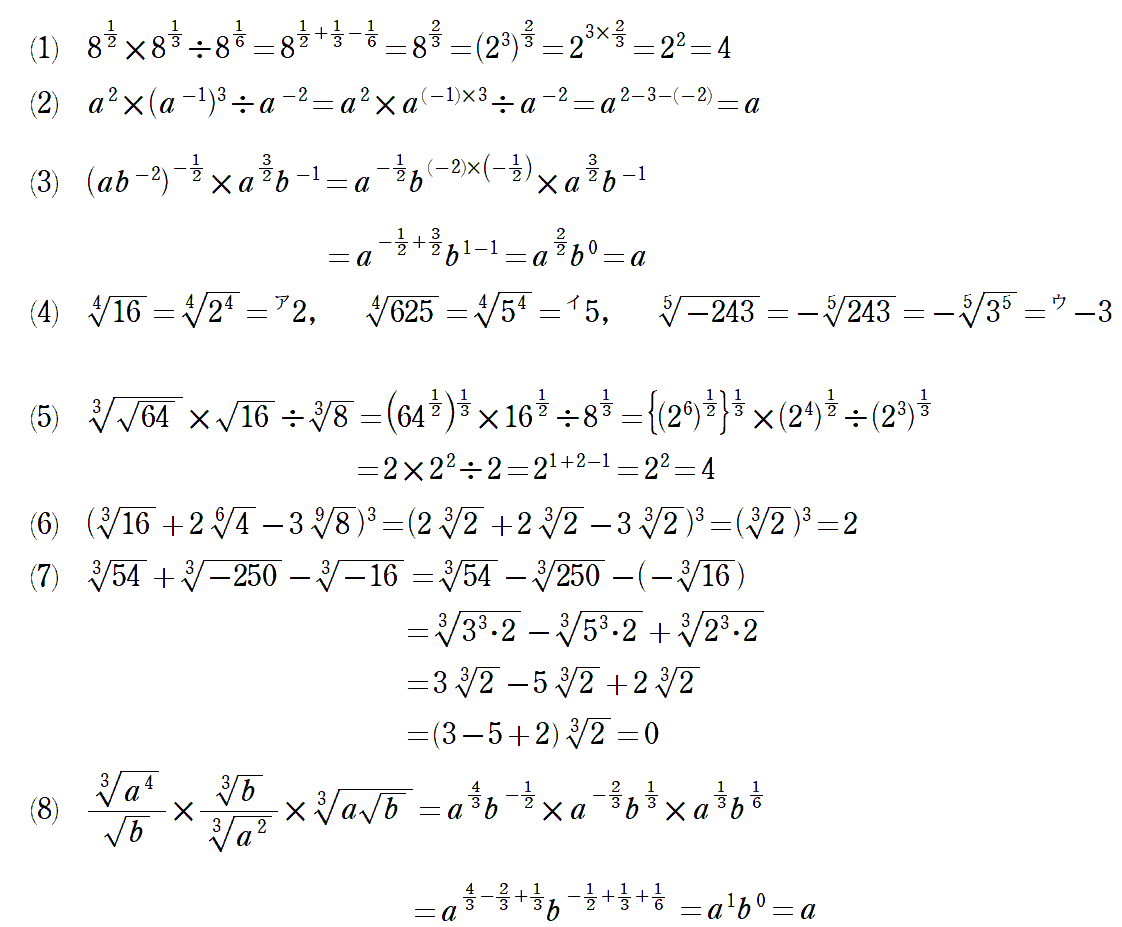
指数 計算 問題 (99) 사진
0
1
2
3
4
5
01 февраль
0
1
指数 計算